
Electric Potential Energy
Just like in the gravitational case, the potential falls proportional to r-1. The form of the potential energy U looks the same as the that for the force F except for the power of r.

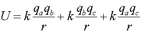
Again, note that the potential energy is positive when the two charges have the same sign and negative otherwise. Note that the potential energy of a set of charges, qa,qb,...qz is the sum of the potential energies of the pairs. For instance, if there are 3 charges, qa,qb,qc, the net potential energy is:

Remember, potential energy is NOT a vector.