
Energy storage in capacitors
A capacitor is capable of storing internal energy, due to charge begin moved across the voltage difference. For moving a small charge Dq across a capacitor, the change in potential energy is:
,
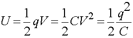
where q is the charge already on the capacitor. As a capacitor is charged fro q=0, the first charges comes on to the capacitor while the capacitor has little charge, and hence do little to the internal energy. While the last charges surmount the entire voltage difference. With a little calculus one can show:

Both forms for the energy, U, will be useful.