
Electric fields for simple geometries
Gauss's law can derive the E-field for the following geometries:
A
spherically symmetric charge distribution, e.g.
a point charge.
The Gaussian surface should be a sphere. The area of the
surface is 4pr2, so
Gauss's law becomes:
![]() |
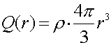
where Q(r) is the charge inside the surface. For
a point charge, Q(r) is the total charge,
whereas for a uniform charge density r (charge
per unit volume) the charge inside the surface is:
![]() |
![]() |
Thus for a uniform sphere of charge, the electric field
is zero at r=0, and grows linearly in r
inside the sphere, while outside the sphere the electric
field is of the same form as Coulomb's law.
A
large plate with uniform charge density.
Consider the plate below, which we will assume is
infininte ( a good assumption if you are close to the
plate) and has a charge per unit area,
s.

Gauss's law states
(remember the field leaves through both sides):
![]() |
Two
oppositely charged parallel plates.
If there were two plates with opposite charge, the
electric field would be double this value in between the
plates,
,and zero outside the plates.
An
infinite line charge.
Drawing a cylinder of length L around an
infinite wire, which has a charge per unit length of l, will trap a charge inside of Q=lL, and the area through which the
flux leaves is 2prL. Gauss's law then
states:
![]() |