
The critical angle for total internal reflection
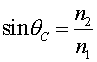
When light leaves a medium of higher index n1 to one of lower index n2, (e.g. light escaping glass and going into the vacuum) the outgoing ray will bend down towards the surface. At some point the solution for sinq2 will be greater than unity. When this occurs the solution for the outgoing angle is meaningless and the light is totally reflected from the surface. To solve for the angle q1where this occurs we consider Snell's law with sinq2 equal to unity.
![]()
This is refered to as the critical angle qc,

The phenomenon of total internal reflection explains how optical glass fibres can carry signals with attenuation lengths of hundreds of kilometers.